Mã sản phẩm: MEA
Giá: Liên Hệ
Tên sản phẩm: Monoethanolamine 99% (MEA)
Quy cách : 210 kg/ Phuy
Xuất xứ : Malaysia , Ả Rập
Công thức phân tử: H2N-CH2CH2OH
Tình trạng: Sản phẩm đang có bán tại Công ty TNHH Thương Mại Hóa Chất Nam Bình. Mua Monoethanolamine 99% (MEA) liên hệ: 028 37160175 - Email: 
Tên khác: Colamine, Glycinol, Olamine; Ethanolamine; 2- Aminoethanol; 2-Hydroxyethylamine; beta-Ethanolamine; beta-Hydroxyethylamine
A. MÔ TẢ
Monoethanolamine (thường được viết tắt ETA hoặc MEA) là một hợp chất hữu cơ mà có cả một amin bậc một và rượu chính. Giống như các amin khác, MEA hoạt động như một điểm lý yếu kém. Monoethanolamine có một chất độc hại, dễ cháy, ăn mòn, không màu, chất lỏng nhớt có mùi tương tự như của amonia.
Monoethanolamine thường được gọi là MEA để phân biệt với Diethanolamine (DEA) và Triethanolamine (TEA). MEA là nhóm đầu nhiều thứ hai dồi dào cho các phospholipid, chất được tìm thấy trong màng sinh học, và cũng được sử dụng trong các phân tử đưa tin như palmitoylethanolamide, trong đó có một tác động trên thụ thể CB1
Các ethanolamines hạn vẫn là một nhóm của rượu amino. Một lớp học của thuốc kháng histamine có xác định là ethanolamines, trong đó bao gồm carbonoxamine, clemastine, Dimenhydrinate, diphenhydramine và doxylamine.
MEA là một trung gian hóa học trong sản xuất mỹ phẩm, hoạt động bề mặt, chất chuyển thể sữa, dược phẩm, và các dẻo; hấp thu và loại bỏ H2S và CO2 từ các nhà máy lọc dầu và khí tự nhiên; carbon dioxide và sản xuất amoniac.
Monoethanolamine còn được gọi là 2-aminoethanol hoặc ethanolamine là một hợp chất hóa học hữu cơ. Mono Ethanol Amine được sử dụng như một dung môi trong một số chất tẩy rửa. Nó giúp hòa tan các thành phần khác trong sản phẩm. MEA cũng làm giảm điểm đông đặc của sản phẩm giặt lỏng để họ có thể được vận chuyển và bảo quản ở nhiệt độ thấp hơn trong những tháng mùa đông.
MEA không chỉ được sử dụng làm nguyên liệu trong sản xuất chất tẩy rửa, mà còn là chất nhũ hoá, chất đánh bóng, dược phẩm, chất ức chế ăn mòn và các chất trung gian hóa học.
B. THUỘC TÍNH LÝ HÓA
-
Vật lý nhà nước: lỏng
-
Màu sắc: không màu
-
Mùi: amoniac
-
Nhiệt độ sôi 172,2 OC
-
Hệ số giãn nở 0,00077 (pero C)
-
Hằng số phân ly 5 × 10-5
-
Trọng lượng tương đương 61.08
-
Điểm chớp cháy 930 C
-
Nhiệt bay hơi 199 cal / g
-
Chiết suất 1,4539
-
Tỷ trọng 1,018
-
Nhiệt dung riêng 0.665 cal / g
-
Sức căng bề mặt 51 dynes / cm
-
Độ nhớt 3,4 poises
-
Áp suất hơi 0,67 mm Hg
-
Trọng lượng mỗi gallon £ 8,472
-
Đun sôi khoảng 165 đến 173o C
-
Màu nước trắng
-
pH 25% giải pháp 12.1
-
Độ hòa tan trong nước hoàn chỉnh
C. SẢN XUẤT MONOETHANOLAMINE:
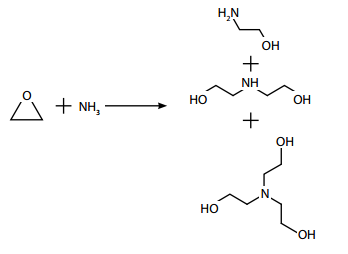
Monoethanolamine được sản xuất bằng cách cho ethylene oxide phản ứng với dung dịch amoniac, phản ứng này cũng dùng để sản xuất diethanolamine (DEA) và triethanolamine (TEA). Tỉ lệ của các sản phẩm có thể được kiểm soát bằng cách thay đổi tỉ lệ các tác chất phản ứng.
Hình ảnh: Phản ứng điêu chế Monoethanolamine
D. ỨNG DỤNG MONOETHANOLAMINE:
-
Ứng dụng trong bột giặt
-
Tinh chế khí
-
Mỹ phẩm
-
Công nghệ dệt
-
Nước đánh bóng và sơn
-
Keo dán
-
Nông hoá
-
Bột gỗ
-
Chất tẩy sơn
-
Ximăng và bêtông
-
Ức chế ăn mòn
-
Các ứng dụng khác
-
Chất đóng rắn nhựa epoxy
-
Dầu bôi trơn có nước
-
Dầu cắt
-
Chất tẩy
E. ỨNG DỤNG KHÁC
Monoethanolamine được sử dụng trong dung dịch nước để chà xát chất khí có tính axit nhất định. Nó được sử dụng làm nguyên liệu trong sản xuất chất tẩy rửa, chất nhũ hoá, chất đánh bóng, dược phẩm, chất ức chế ăn mòn, các chất trung gian hóa học. Ví dụ, phản ứng với ammonia cho phép etanolamin thường được sử dụng chủ yếu để đệm hoặc chuẩn bị nhũ tương. MEA có thể được sử dụng như điều chỉnh pH trong mỹ phẩm
1. Dòng khí cọ rữa
Dung dịch nước của Monoethanolamine được sử dụng như một dòng khí cọ rủa lỏng trong xử amin. Ví dụ, MEA lỏng được sử dụng để loại bỏ carbon dioxide từ khí thải. Dung dịch nước yếu có thể hòa tan một số loại khí từ một hỗn hợp khí đốt dòng. Các MEA trong các giải pháp này, hoạt động như một điểm lý yếu kém, sau đó vô hiệu hóa các hợp chất có tính axit hòa tan trong dung dịch để biến các phân tử thành dạng ion, làm cho họ phân cực và đáng kể hòa tan trong dung dịch MEA lạnh, và do đó giữ các khí này hòa tan trong giải pháp xử lý khí này. Do đó, diện tích bề mặt lớn tiếp xúc với dung dịch chà lạnh như vậy trong một đơn vị thể chà sàn chọn lọc loại bỏ các thành phần có tính axit như hydrogen sulfide và CO2 từ một số luồng khí hỗn hợp. Ví dụ, các giải pháp cơ bản như MEA dung dịch nước hoặc dung dịch kali cacbonat có thể vô hiệu hóa H2S thành ion hydro sulphua hoặc CO2 thành ion bicarbonate
H2S và CO2 được chỉ yếu chất khí có tính axit. Một dung dịch nước của một bazơ mạnh như sodium hydroxide sẽ không dễ dàng giải phóng các khí này một khi chúng đã hòa tan. Tuy nhiên, Monoethanolamine được điểm lý khá yếu và sẽ tái phát hành H2S hoặc CO2 khi dung dịch chà được làm nóng. Vì vậy, các giải pháp MEA chà được tái sinh thông qua một đơn vị tái sinh, làm nóng các giải pháp MEA từ các đơn vị chùi để giải phóng các khí này chỉ có tính axit nhẹ vào một hình thức tinh khiết hơn và trả về các giải pháp MEA tái tạo để các đơn vị chà lại để tái sử dụng
2. Kiểm soát pH Amine
Monoethanolamine thường được sử dụng cho alkalinization nước trong chu kỳ hơi nước của các nhà máy điện, bao gồm cả các nhà máy điện hạt nhân với lò phản ứng nước áp lực. Alkalinization này được thực hiện để kiểm soát sự ăn mòn của cấu kiện kim loại. ETA được chọn vì nó không tích lũy trong máy phát điện hơi nước và đường nứt do sự biến động của nó, nhưng thay vì phân phối tương đối thống nhất trong toàn bộ chu trình hơi. Trong ứng dụng này, ETA được một thành phần quan trọng của cái gọi là "xử lý allvolatile" của nước.